IL TABELLONE DELLA CONFERNEZA STATO-REGIONI
Fondi coesione, Foti mette alle strette Regioni e ministeri: recupera 1,5 mld per la casa. E non è finita
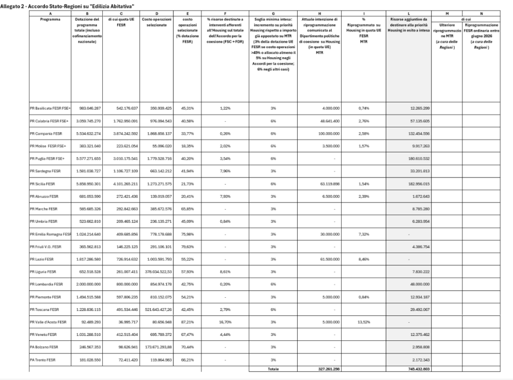
Intesa in Conferenza Stato-Regioni per sfruttare la riprogrammazione dei fondi coesione 2021-2027. Alla somma già destinata alla casa dalle Regioni ne è stata aggiunta un’altra “obbligata” per arrivare a una quota minima totale del 3% per le regioni più avanti nella programmazione e del 6% per quelle più indietro. Totale 1.072 milioni. La tabella regionale. Altri 460 milioni da tre programmi nazionali.

Tommaso Foti, ministro per l'Europa, il Pnrr e la coesione
Due mesi e mezzo fa, il 13 novembre scorso, il ministro per l’Europa, il Pnrr e la coesione, Tommaso Foti, partecipava a un convegno sulle politiche abitative organizzato da Federcasa e in quell’occasione dava una forte strigliata alle Regioni che avevano proposto di riprogrammare i fondi coesione 2021-2027 – come prevede l’operazione di mid term lanciata da Bruxelles – destinando alla nuova priorità della casa soltanto 800 milioni. Foti era proprio scandalizzato quel giorno, considerando come tutti oggi invochino, chiedano, pretendano fondi per le politiche abitative. Occasione fallita, aveva detto il ministro, considerando poi che di quegli 800 milioni 240 erano relativi a un programma del ministero del Lavoro.
Quella posizione di Foti, lungi dall’essere una resa, era, in realtà, l’annuncio di una battaglia che ha avuto un suo primo epilogo nella Conferenza Stato-Regioni del 29 dicembre. Foti ha imposto un’intesa ai Governatori che di fatto stabiliva una quota minima di fondi da riprogrammare, volenti o nolenti. Alla somma che già volontariamente era stata destinata dalle Regioni ne è stata sommata un’altra in modo che il totale facesse il 3% per le regioni più avanti nella spesa o quanto meno nella programmazione dei fondi di coesione 2021-2027 e il 6% per quelle più indietro.
Ne è venuta fuori una tabella molto complessa che si può trovare in fondo a questo articolo. Per sintesi, invece pubblichiamo qui a destra una tabella semplificata con le somme che ogni Regione complessivamente dirotta verso le politiche abitative. I valori sono espressi in migliaia. La Sicilia è al primo posto per disponibilità con 246 milioni, seguita dalla Campania con 232,4 milioni e dalla Puglia con 180,6 milioni. Anche da queste risultanze si potrebbe forse individuare un paradosso: che le Regioni più virtuose nella spesa o quanto meno nella programmazione dei fondi, oggi si trovano con una copertura inferiore su quella che è diventata, anche a livello regionale, una priorità assoluta. I casi dell’Emilia-Romagna e della Toscana, con una disponibilità che viene misurata in 30 milioni, ne sono un esempio calzante, che le penalizza anche oltre il fatto che quesee Regioni – essendo localizzate al centronord – hanno diritto in partenza a meno fondi.
A queste somme regionali si sommano 460 milioni che sono state pure recuperate alle politiche abitative da tre programmi nazionali, per arrivare a oltre un miliardo e mezzo.
Questa vicenda segna una prima vittoria di Foti che però conta di andare avanti sulla strada di recuperare risorse su effettive priorità togliendole a una programmazione di fondi della coesione spesso frammentata e su obiettivo non prioritari. La riprogrammazione dei fondi europei di coesione è di fatto conclusa ma ora, per dare attuazione alla legge di bilancio e alle previsioni che entreranno nel decreto Pnrr, si apre la partita della riprogrammazione delle risorse del Fondo sviluppo coesione.
Qui di seguito la tabella allegata all’intesa raggiunta in Conferenza Stato-Regioni per il sostegno all’Housing.
